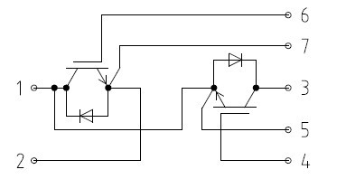
Product Summary
The FF200R12KT3G is an IGBT-Module.
Parametrics
FF200R12KT3G absolute maximum ratings: (1)collector emitter voltage: 1200V; (2)DC collector current: 200A; (3)repetitive peak collector current: 400A; (4)total power dissipation: 1050W; (5)gate emitter peak voltage: ±20V.
Features
FF200R12KT3G features: (1)forward voltage: 1.65V; (2)peak reverse recovery current: 150A; (3)recovered charge: 20μC; (4)reverse recovery energy: 9 mJ; (5)thermal resistance, junction to case: 0.20K/W.
Diagrams

(Hong Kong)






